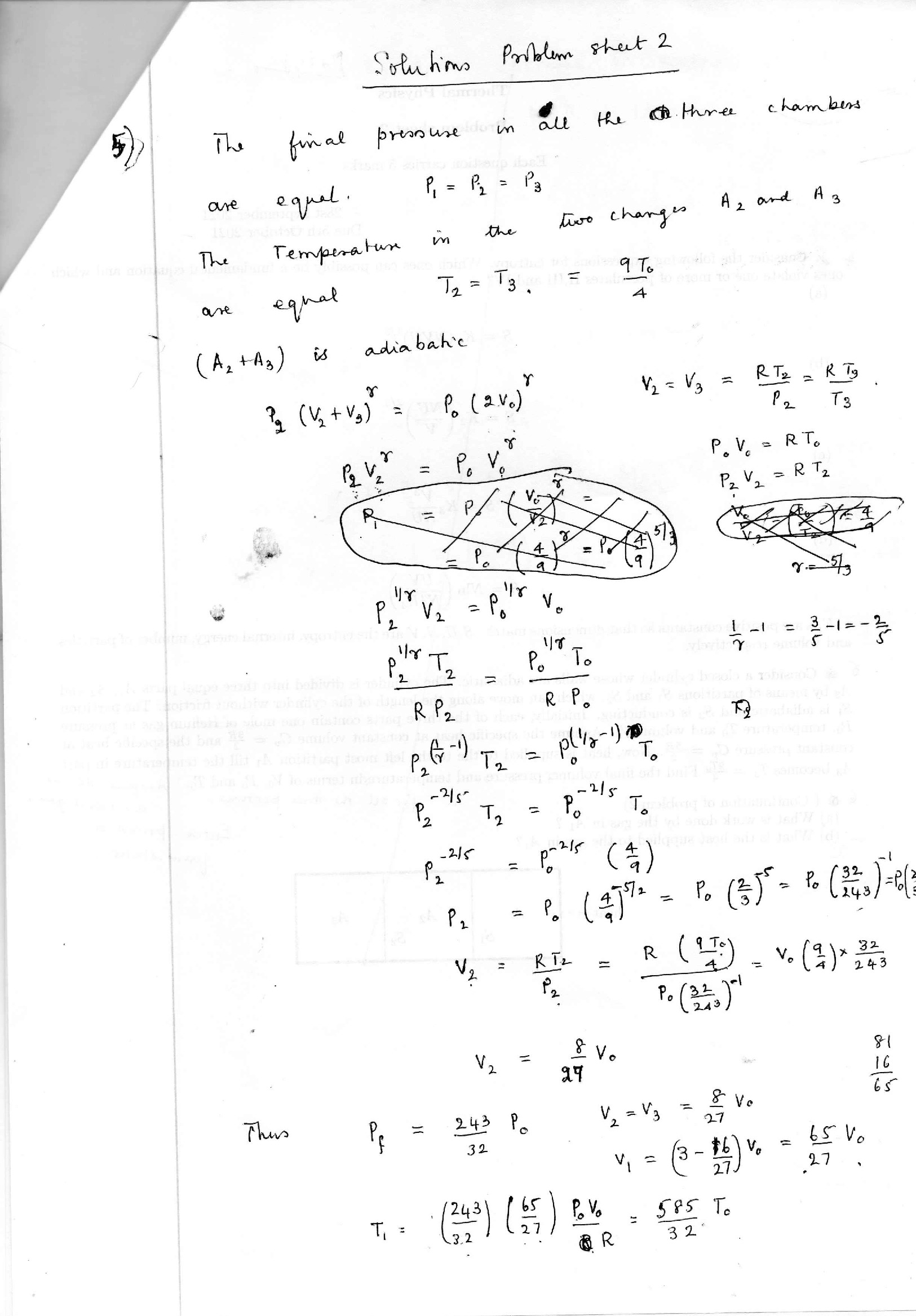
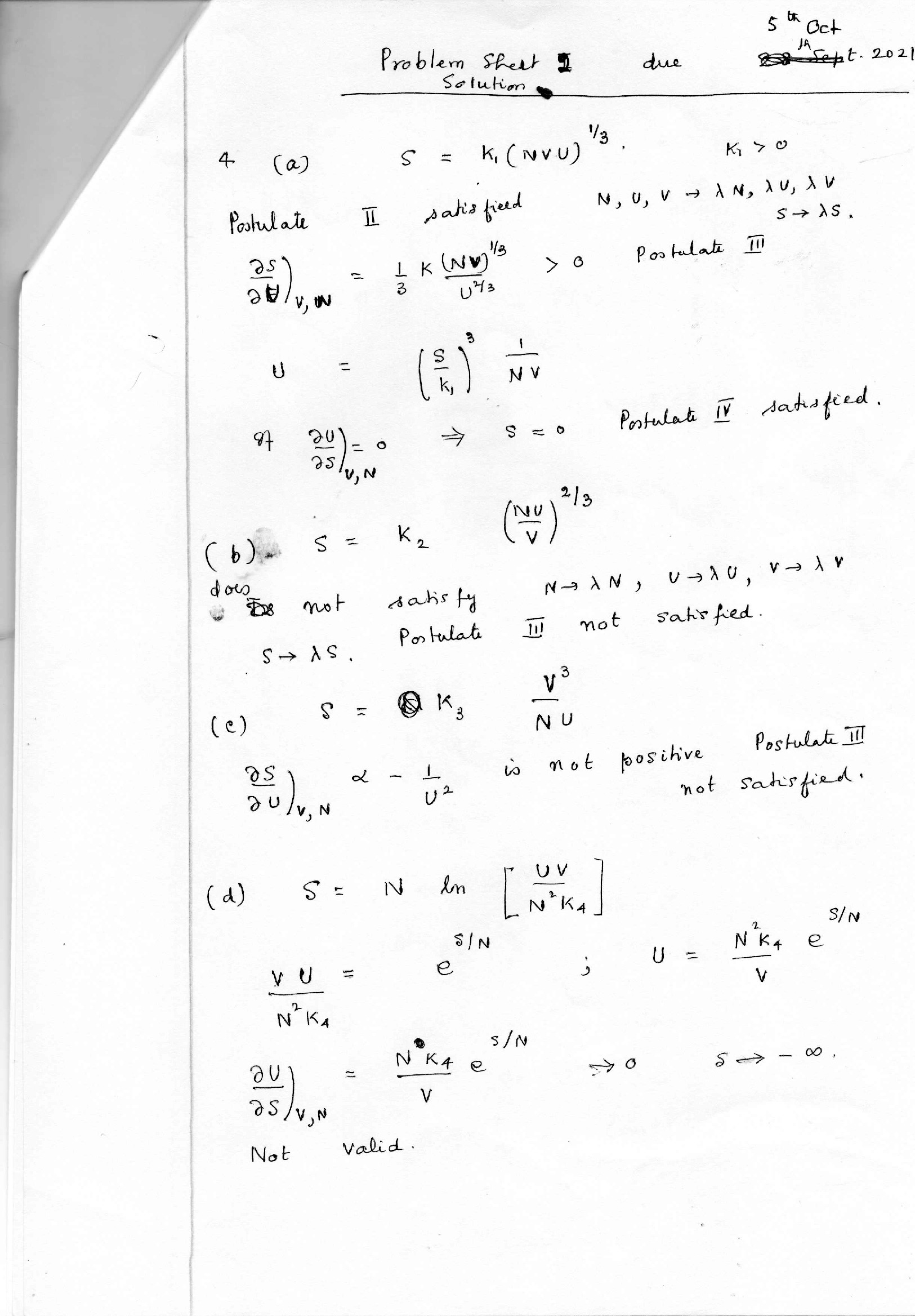
Notices
 

21-Th-Mani-Solu-Set-02

For page specific messages
For page author info
 
X