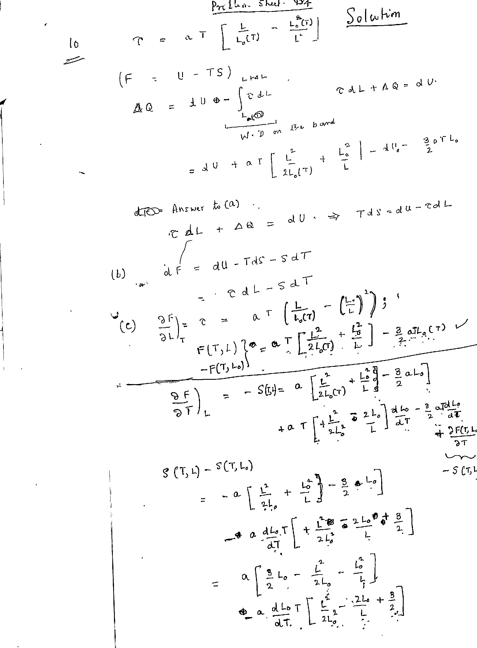
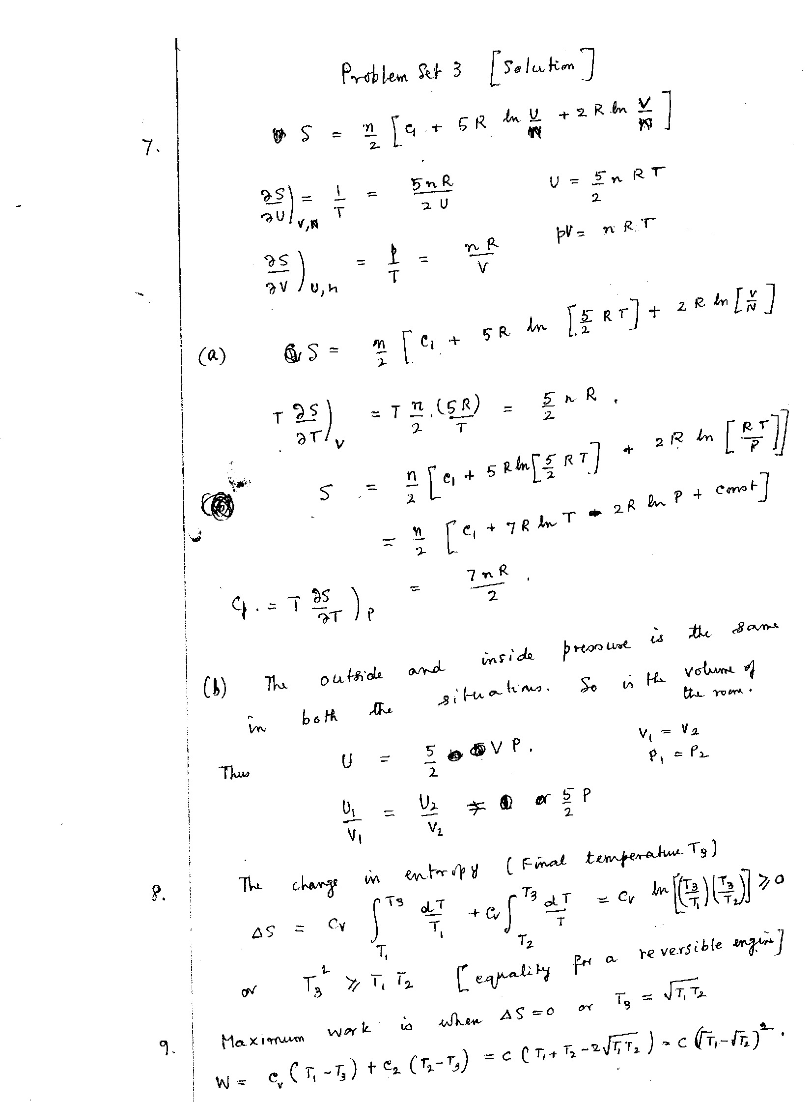
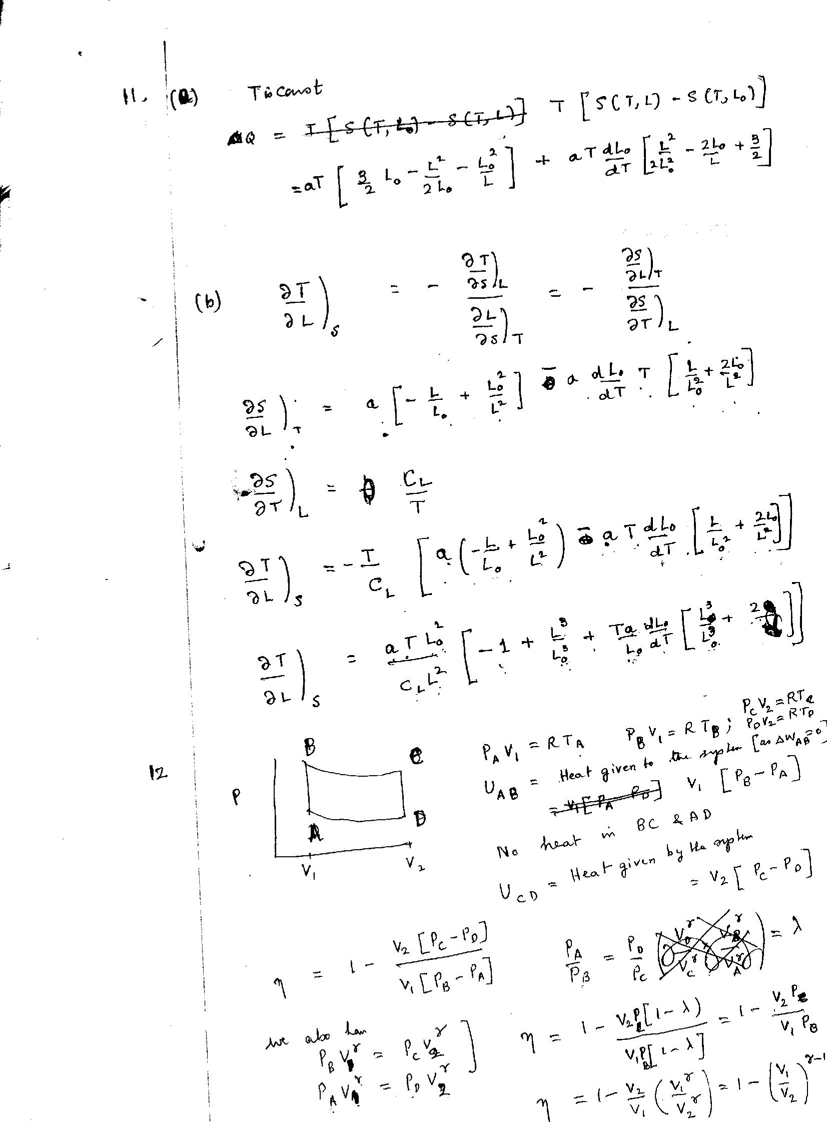
Notices
 

21TH-SoluSet-03and04

For page specific messages
For page author info
 
X